
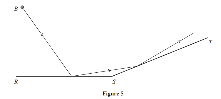
Figure 1
Figure 1 represents the plan view of part of a horizontal floor, where and
are perpendicular vertical walls.
The floor and the walls are modelled as smooth.
A ball is projected along the floor towards with speed
ms−1 on a path at an angle of 60° to
. The ball hits
and then hits
.
The ball is modelled as a particle.
The coefficient of restitution between the ball and wall is
.
The coefficient of restitution between the ball and wall is
.
Show that, using this model, the final kinetic energy of the ball is 35% of the initial kinetic energy of the ball.
In reality the floor and the walls may not be smooth. What effect will the model have had on the calculation of the percentage of kinetic energy remaining?
Was this exam question helpful?









