State the type of bond that forms between two sugar molecules in a disaccharide.
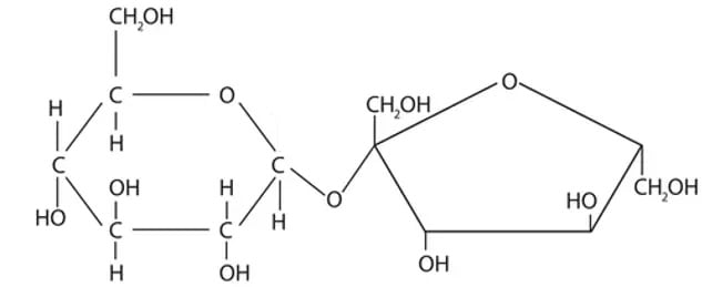
A disaccharide has the formula C12H22O11 and is pictured below.

Draw a ring around the chemical group that bonds two monosaccharides together.
Table 1 lists some examples of monosaccharide and disaccharide sugars.
Draw a tick (✓) in the correct boxes to indicate which of the sugars are reducing sugars or non-reducing sugars.
Table 1
| Reducing sugar | Non-reducing sugar |
Glucose |
|
|
Maltose |
|
|
Sucrose |
|
|
Lactose |
|
|
The equation shows the reaction catalysed by the enzyme maltase.
Maltose + A → Glucose + B
(i) State the name of the molecules A and B.
[2]
(ii) Give the type of chemical reaction shown in the equation in part (i).
[1]
Was this exam question helpful?




















