Integration by Substitution (DP IB Analysis & Approaches (AA): SL): Revision Note
Did this video help you?
Substitution: reverse chain rule
What is integration by substitution?
When reverse chain rule is difficult to spot or awkward to use then integration by substitution can be used instead
Substitution simplifies the integral by defining an alternative variable (usually
) in terms of the original variable (usually
)
Everything (including “
” and limits for definite integrals) is then substituted which makes the integration much easier
How do I integrate using substitution?
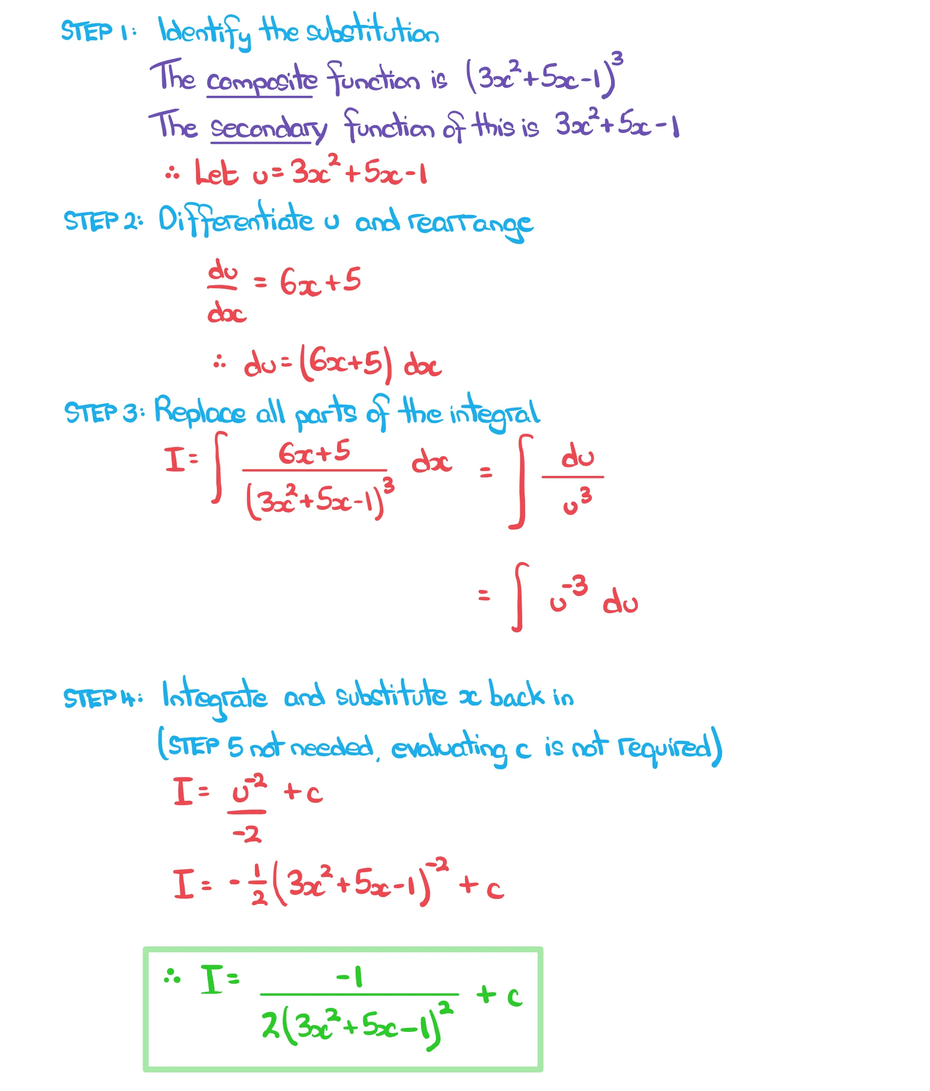
STEP 1
Identify the substitution to be used – it will be the secondary function in the composite functionSo if you are integrating something like
, use the substitution
E.g.
Use the substitution
STEP 2
Differentiate the substitution and rearrangecan be treated like a fraction (i.e. “multiply by
” to get rid of fractions)
E.g.
STEP 3
Replace all parts of the integral
All
terms should be replaced with equivalent
terms, including
(If finding a definite integral change the limits from
-values to
-values too)
E.g.
STEP 4
Integrate and either substitute
back in (indefinite integral) or evaluate using the
limits (definite integral)
E.g.
STEP 5
Find
, the constant of integration, if needed
For definite integrals, a GDC should be able to process the integral without the need for a substitution
Be clear about whether or not working is required in a question
Examiner Tips and Tricks
If you have your GDC with you in the exam, you can always use it to check the value of a definite integral, even in cases where working needs to be shown.
Worked Example
a) Find the integral
Answer:

b) Evaluate the integral
giving your answer as an exact fraction in its simplest terms.
Answer:

Unlock more, it's free!
Was this revision note helpful?